• Предмет: Математика
  • Автор: Mayuoo
  • Вопрос задан 7 лет назад

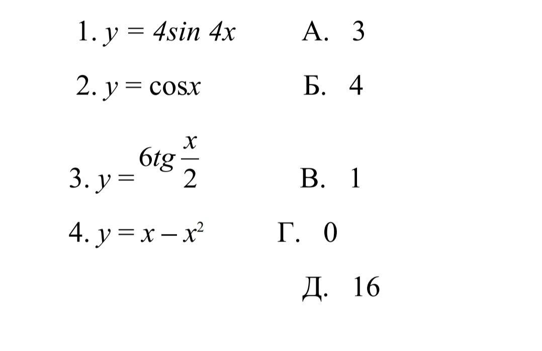
Установіть відповідність між функціями (1 – 4) та тангенсами кутів, які утворюють дотичні, що проведені до графіків функцій у точці з абсцисою х = 0, із додатним напрямком осі 0х (А – Д).(Напишіть розв'язок, а не просто букву)

Приложения:

Ответы

Ответ дал: Fire1ce
4

Установить соответствие между функциями (1-4) и тангенсами углов, которые создают касательные, проведённые к графикам функций в точке с абсциссой х=0 с положительным направлением оси абсцисс (А-Д).

1) y=4sin4x; 2) y=cos x; 3) y=6tg(x/2); 4) y=х-х².

Ответ:

1-Д, 2-Г, 3-А, 4-В.

Пошаговое объяснение:

Теория:

  • Производная функции в точке х₀ равна тангенсу угла наклона касательной к графику этой функции.

Получается, нам нужно найти производную каждой функции и её значение в точке с абсциссой х=0. Рассматриваем каждую ф-цию по очереди.

\LARGE  \boldsymbol {}1)\ y=4\sin4x\\\\y'=(4\sin 4x)'(4x)'=4*\cos 4x*4=16\cos 4x\\\\y'(0)=16*\cos(4*0)=16*\cos0=16*1=16\\\\y'(0)=\text{tg  x } =16

1-Д, функция y=4sin4x и касательная, проведённая к графику этой функции в точке с абсциссой х=0 создаёт угол, тангенс которого равен 16.

\LARGE  \boldsymbol {}2)\ y=\cos x\\\\y'=(\cos x)'=-\sin x\\\\y'(0)=-\sin 0 =0\\\\y'(0)=\text{tg  x } =0

2-Г, функция y=cos x и касательная, проведённая к графику этой функции в точке с абсциссой х=0 создаёт угол, тангенс которого равен нулю.

\LARGE  \boldsymbol {} 3)\ y=6\text{tg}\ \frac{x}{2} \\\\y'=(6\text{tg}\ \frac{x}{2})*(\frac{1}{2}x)'=6*\frac{1}{\cos^2\frac{x}{2} }  *\frac{1}{2} =3*\frac{1}{\cos^2\frac{x}{2}} =\\\\=\frac{3}{\cos^2\frac{x}{2}} \\\\y'(0)=\frac{3}{\cos^2\frac{0}{2} } =\frac{3}{\cos^20} =\frac{3}{1} =3\\\\y'(0)=\text{tg  x } =3

3-А, функция y=6tg(x/2) и касательная, проведённая к графику этой функции в точке с абсциссой х=0 создаёт угол, тангенс которого равен 3.

\LARGE  \boldsymbol {}  4) y=x-x^2\\\\y'=(x-x^2)'=(x)'-(x^2)'=1-2x\\\\y'(0)=1-2*0=1-0=1\\\\y'(0)=\text{tg  x } =1

4-В, функция y=х-х² и касательная, проведённая к графику этой функции в точке с абсциссой х=0 создаёт угол, тангенс которого равен 1.

Вас заинтересует