• Предмет: Алгебра
  • Автор: Rexile
  • Вопрос задан 7 лет назад

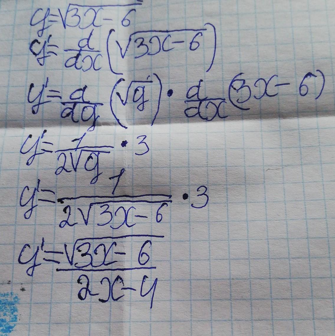
знайдить вызначення функцииy=\sqrt{3x}-6

Ответы

Ответ дал: Asfdew
0

Ответ:

можно лучший ответ

Можна найкраща відповідь

Приложения:
Вас заинтересует