• Предмет: Алгебра
  • Автор: dariakusenko89
  • Вопрос задан 7 лет назад

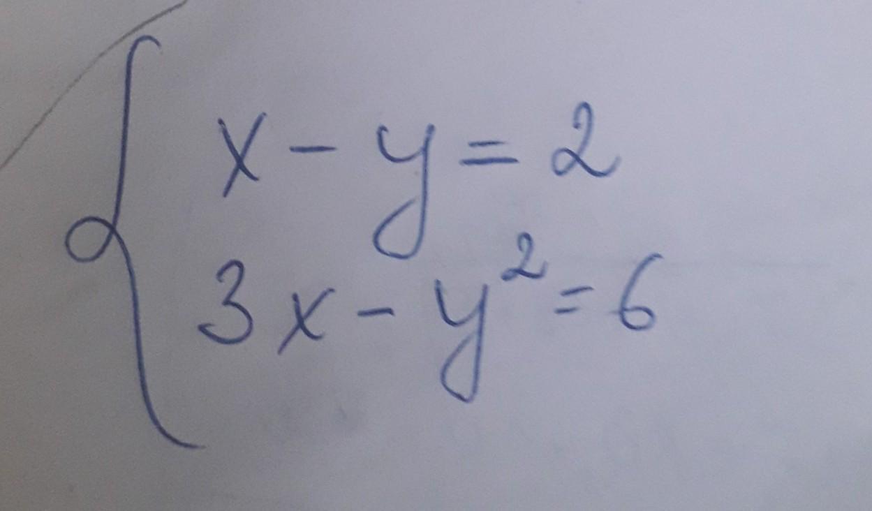
допоможуіть розвязати систему рівняння ​

Приложения:

Ответы

Ответ дал: Universalka
1

\displaystyle\bf\\\left \{ {{x-y=2} \atop {3x-y^{2} =6}} \right. \\\\\\\left \{ {{x=y+2} \atop {3\cdot(y+2)-y^{2} =6}} \right. \\\\\\\left \{ {{x=y+2} \atop {3y+6-y^{2} =6}} \right. \\\\\\\left \{ {{x=y+2} \atop {y^{2} -3y=0}} \right.\\\\\\\left \{ {{x=y+2} \atop {y\cdot(y-3)=0}} \right. \\\\\\\left \{ {{x=y+2} \atop {\left[\begin{array}{ccc}y=0\\y-3=0\end{array}\right}} \right. \\\\\\\left \{ {{x=y+2} \atop {\left[\begin{array}{ccc}y=0\\y=3\end{array}\right}} \right.

\displaystyle\bf\\\left[\begin{array}{ccc}\left \{ {{x_{1} =2} \atop {y_{1} =0}} \right. \\\left \{ {{x_{2} =5} \atop {y_{2} =3}} \right. \end{array}\right\\\\\\Otvet \ : \ \Big(2 \ ; \ 0\Big) \ , \ \Big(5 \ , \ 3\Big)

Вас заинтересует