Ответы
Ответ дал:
1
Ответ:
Правильна відповідь - 2
Пошаговое объяснение:
Ответ дал:
1
Ответ:
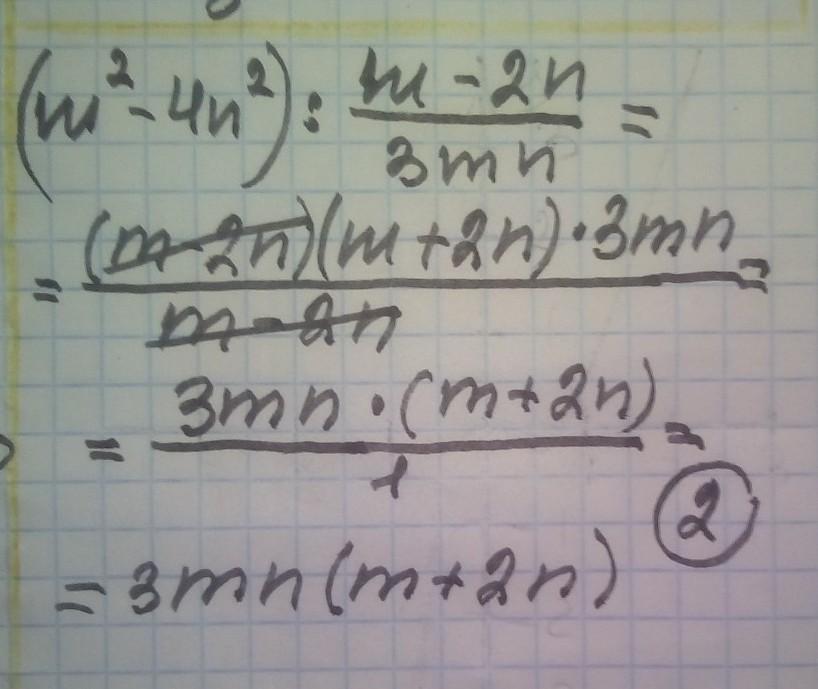
решение смотри на фотографии
Приложения:

gacha1club:
огромное спасибо
Вас заинтересует
2 года назад
2 года назад
2 года назад
2 года назад
8 лет назад
8 лет назад
9 лет назад