• Предмет: Алгебра
  • Автор: danikstavskiy
  • Вопрос задан 7 лет назад

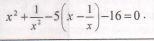
Найти сумму корней уравнения. БЕЗ ТЕОРЕМЫ БЕЗУ!!!!!

Приложения:

bb573878: сумма корней равна 5

Ответы

Ответ дал: tetamotatetyamotya
1

Ответ:вот

Объяснение:

Приложения:

bb573878: x^2+1/x^2=(x-1/x)^2+2
bb573878: t=x-1/x
bb573878: t^2-5t-14=0
bb573878: дальше можно вообще не решать
bb573878: по Виета сумма корней равна 5
bb573878: если есть желание можно найти корни
bb573878: t1=7;x-1/x=7;x^2-7x-1=0
bb573878: t=-2;x-1/x=-2;x^2+2x-1=0
danikstavskiy: оо, спасибо ты прав, сам делал заменой, но забыл про это свойство у Виета
danikstavskiy: п довести замену до конца не получилось
Вас заинтересует