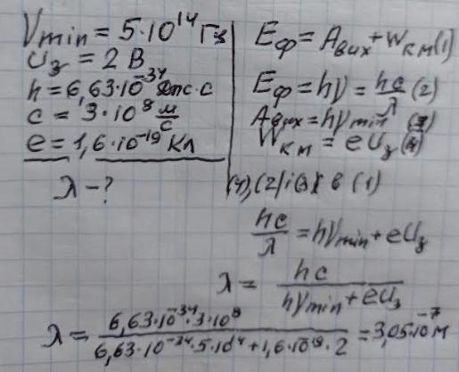
Мінімальна частота світла, що вириває електрони з поверхні катода, дорівнює 5·10 14 Гц. Яка
довжина хвилі діючого на катод випромінювання, якщо затримуюча напруга дорівнює 2 В?
Ответы
Ответ дал:
1
Відповідь: 305 нм
Пояснення:
Приложения:
K0ban:
Спасибо большое !
Вас заинтересует
2 года назад
2 года назад
3 года назад
3 года назад
8 лет назад
8 лет назад
10 лет назад
10 лет назад