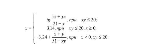
Найти ошибки в коде питона:
import math

if (x*y) <= 20:

x=math.tan((5*x+x*y)/21-x

if (x*y) <= 20 else x => 0:

x=3.14

if x < 0 else (x*y) <= 20:

x=(-3.24)+((x+y)/(51-(x*y))


print('x= ', x)

Приложения:

00sovok000negra00: а я пол часа сижу не впариваю вообще
00sovok000negra00: такие формулы как-то называются в математике?*
V01N: в плане?
V01N: ты о чём
V01N: там кроме тангенса ничего нет это и то 7 класс максимум
V01N: ты просто x меняешь в зависимости от разных условий
00sovok000negra00: до меня дошло.. ты гений.. спасибо!
J2S: ахахах
00sovok000negra00: # типо такого нужно было ?
import math
x = int(input('x = '))
y = int(input('y = '))
x1 += math.tan((5*x+x*y)/(21-x)) if x*y <= 20 else x
x1 += 3.14 if x*y <= 20 and x >= 0 else x
x1 += -3.24 + (x+y)/(51-x*y) if x < 0 and x*y <= 20 else x
print('new x = ', x1)
00sovok000negra00: # блин, x1 = 0 забыла..
# типо такого нужно было ?
import math
x = int(input('x = '))
y = int(input('y = '))
x1 = 0
x1 += math.tan((5*x+x*y)/(21-x)) if x*y <= 20 else x
x1 += 3.14 if x*y <= 20 and x >= 0 else x
x1 += -3.24 + (x+y)/(51-x*y) if x < 0 and x*y <= 20 else x
print('new x = ', x1)

Ответы

Ответ дал: verificated
0

Ответ:

import math

x = float(input("ENTER X VALUE: "))

y = float(input("ENTER Y VALUE: "))

c = 0

if x*y <= 20:

   c += math.tan((5*x+x*y)/21)-x

elif x*y <= 20 and x >= 0:

   c += 3.14

elif x < 0 and x*y <= 20:

   c += (-3.24)+((x+y)/(51-(x*y)))

print(c)


J2S: ошибка в коде
J2S: c += math.tan((5*x+y*x)/21-x)
00sovok000negra00: а в условии x плюсуется или принимает первое попавшееся значение?
например, если первое и второе условие активно
Ответ дал: V01N
0

Ответ:

from math import tan as tg

from math import pi

x,y=map(int,input().split())

if (x*y) <= 20:

   a=(5*x+x*y)/(21-x)

   x=tg(a)

elif (x*y) <= 20 and x>=0:

   x=pi

elif x<0 and x*y<=20:

   x=-3,24+((x+y)/(51-x*y))

print(x)

это твоё исправленное решение на твоё условие задачи


import math

def f(x,y):

   if x*y<=20:

       return math.tan((5*x+x*y)/(21-x))

   elif x*y<=20 and x>=0:

       return math.pi

   else:

       return -3,24 + (x+y)/(51-x*y)

print(f(1,1))
это моё видение как это надо решать

Объяснение:

условие очень скучное и бесполезное в плане первое работает всегда, а если не работает, то не работают остальные, не знаю, кто это придумал, но оч бесполезная прога:)


J2S: можете
J2S: сделать
J2S: в вашем решениии
V01N: import math
def f(x,y):
if x*y<=20:
return math.tan((5*x+x*y)/(21-x))
elif x*y<=20 and x>=0:
return math.pi
else:
return -3,24 + (x+y)/(51-x*y)
x,y=map(float,input().split())
print(f(x,y))
V01N: ты просил найти ошибки в коде
V01N: там тоже не было ввода
J2S: ладна
J2S: спс
00sovok000negra00: что со мной не так, почему у меня выводит 3.14 с такими же параметрами?
import math
x = int(input('x = '))
y = int(input('y = '))
x = math.tan((5*x+x*y)/(21-x)) if x*y <= 20 else x
x = 3.14 if x*y <= 20 and x >= 0 else x
x = -3.24 + (x+y)/(51-x*y) if x < 0 and x*y <= 20 else x
print('x = ', x)
00sovok000negra00: а, это потому что у меня x меняется и производит вычитания уже с другим значением.. извините...
Вас заинтересует