• Предмет: Алгебра
  • Автор: sonya7132
  • Вопрос задан 7 лет назад

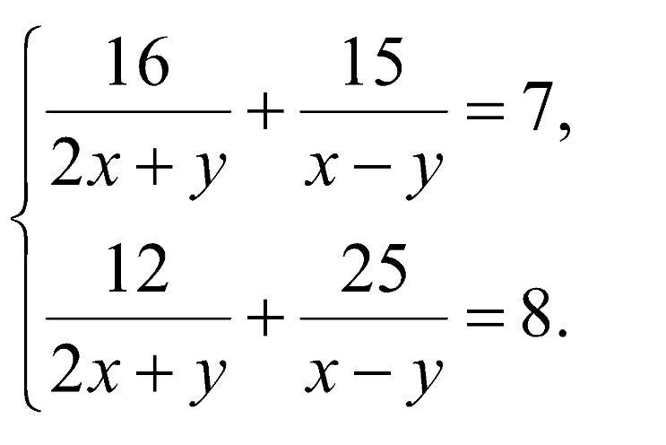
Решите систему уравнений:

Приложения:

Ответы

Ответ дал: sangers1959
2

Объяснение:

\left \{ {{\frac{16}{2x+y}+\frac{15}{x-y}=7  } \atop {\frac{12}{2x+y} +\frac{25}{x-y}=8 }} \right. .

Пусть: \frac{1}{2x+y} =t\ \ \ \ \ \frac{1}{x-y} =v\ \ \ \ \ \Rightarrow.

\left \{ {{16t+15v=7\ |*5} \atop {12t+25v=8\ |*(-3)}} \right. \ \ \ \ \left \{ {{80t+75v=35} \atop {-36t-75v=-24}} \right..

Суммируем эти уравнения:

44t=11\ |:44\\t=\frac{1}{4} .\ \ \ \ \ \ \Rightarrow\\16*\frac{1}{4}+15v=7\\ 4+15v=7\\15v=3\ |:15\\v=\frac{1}{5}. \ \ \ \ \Rightarrow\\

\left \{ {{\frac{1}{2x+y}=\frac{1}{4}  } \atop {\frac{1}{x-y} =\frac{1}{5} }} \right. \ \ \ \ \left \{ {{2x+y=4} \atop {x-y=5}} \right. .

Суммируем эти уравнения:

3x=9\ |:3\\x=3.\\3-y=5\\y=-2.

Ответ: (3;-2).

Вас заинтересует