Ответы
Ответ дал:
1
Ответ:
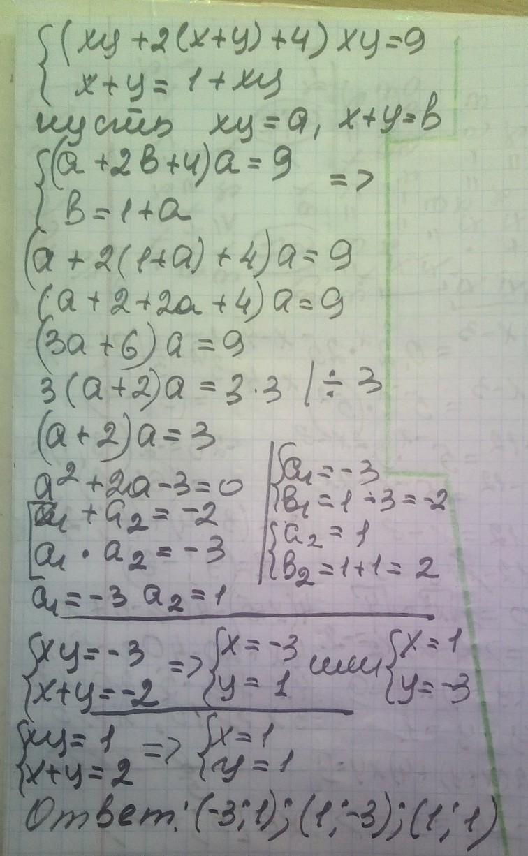
решение смотри на фотографии
Приложения:


lavrentiy45687:
можешь, если несложно, пожалуйста решить 2 вопроса. у меня в профиле
Ответ дал:
0
Решение.
Выразим ху из 2 уравнения и подставим в 1 уравнение .
Сначала вынесем множитель 3 за скобки, а потом воспользуемся формулой разности квадратов .
Теперь решаем две системы уравнений .
Вас заинтересует
2 года назад
2 года назад
2 года назад
2 года назад
8 лет назад
9 лет назад