• Предмет: Математика
  • Автор: PremiumArtur
  • Вопрос задан 7 лет назад

Первообразные. Помогите!

Приложения:

Ответы

Ответ дал: yevheniiavz
1

1) ∫a^{x} =\frac{a^{x}}{lna}+C.

2) F(x) = ∫f(x)dx = ∫e^{3x}dx=\frac{e^{3x} }{3} +C.

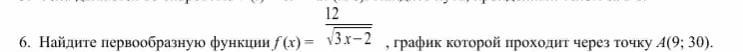
3) f(x)=\frac{12}{\sqrt{3x-2} }           A(9;3)

F(x) = ∫f(x)dx = ∫\frac{12dx}{\sqrt{3x-2} } =[Замена: t=x-2)= ∫\frac{4}{\sqrt{t}} dt=4*2√t=4*2√(3x-2)=8\sqrt{3x-2} +C.

3=8\sqrt{3*9-2} +C

3=8\sqrt{27-2} +C

3=8*5+C

-C=37        | *(-1)

C=-37.

Итого, F(x)=8\sqrt{3x-2} -37.

Вас заинтересует