• Предмет: Геометрия
  • Автор: Rraiden
  • Вопрос задан 7 лет назад

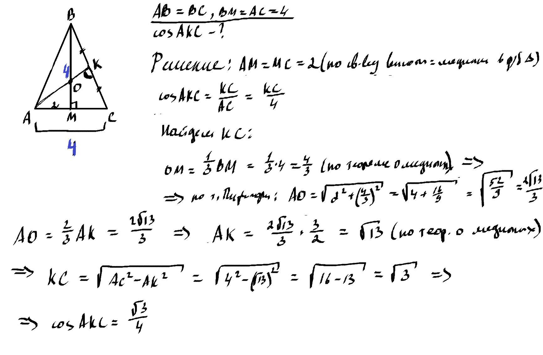
СРОЧНО, ПОЖАЛУЙСТА! Даны треугольник АВС. Основание равнобедренного треугольника АС и высота ВМ равны по 4 см. На сторону ВС проведена медиана АК. Найди cos ∠AKC.

Ответы

Ответ дал: Гурлей
0

Ответ:

см приложение

Объяснение:

теорема о медианах: в треугольнике медианы пересекаются так, что делятся точкой пересечения в отношении 2 к 1 начиная от вершины

Приложения:
Вас заинтересует