Ответы
Ответ дал:
1
Ответ:
решение смотри на фотографии
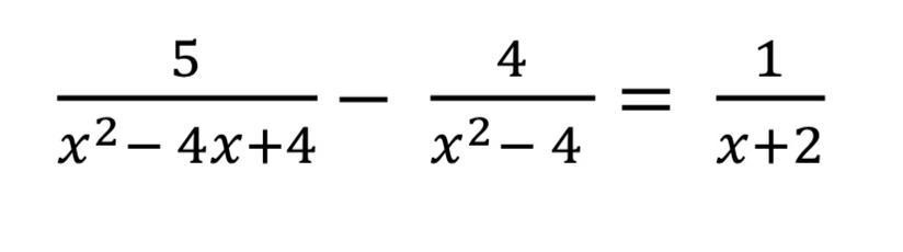
добавила решение уравнения, при помощи разложения на множители
Приложения:


Ответ дал:
1
Ответ:
х=7
Объяснение:
Приложения:

sonya7132:
Можно ли решить без теоремы виета? (на уровне 7 класса)
Вас заинтересует
2 года назад
2 года назад
2 года назад
2 года назад
7 лет назад
7 лет назад
9 лет назад