Ответы
Ответ:
Примечание:
Интеграл 1 рода от положительной функции сходится если
, что
Объяснение:
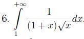
- несобственный интеграл 1 рода
1) способ решения
(взятие интеграла смотрите ниже(2 способ решения))
По определению несобственного интеграла 1 рода:
(Детальнее о пределе вида смотрите в конце 2 способа решения)
2) способ решения (проверка на сходимость через признак)
Пусть , тогда так как
на промежутке от
то данный интеграл является несобственный интеграл 1 рода от положительной функции.
Найдем такое , что выполнено условие
Рассмотрим неопределенный интеграл .
----------------------------------------
Замена:
-----------------------------------------
Таким образом
Так как , то функция
- ограниченна, а так как функция ограниченна, то
, что
, то есть выполнено условие
Так как , то:
(при вычислении несобственного интеграла воспользуемся несобственной двойной подстановкой)
.
Так как асимптота графика при
это
, то и
асимптота графика при
это
, то
.
