Ответы
Ответ дал:
1
Ответ:
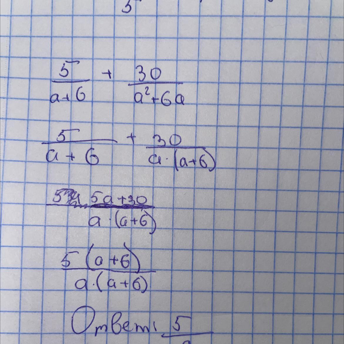
5/а+6+30/а²+6а=5а+30/а(а+6)=5/а
Ответ дал:
1
Ответ: 5/а
Объяснение:
Объяснение:
Приложения:

Вас заинтересует
2 года назад
2 года назад
2 года назад
2 года назад
7 лет назад
9 лет назад