• Предмет: Алгебра
  • Автор: sonya7132
  • Вопрос задан 3 года назад

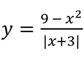
Постройте график функции:

Приложения:

sonya7132: Объяснение пожалуйста
sonya7132: А кто то понимает как это решать на уровне 7 класса?

Ответы

Ответ дал: Polina132132
0

Ответ:

:)

Объяснение:

ось так

Приложения:

Аноним: вообще это другое приложение, но ладно
Вас заинтересует