• Предмет: Алгебра
  • Автор: LynnuPrinz
  • Вопрос задан 3 года назад

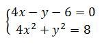
Розв`яжіть систему рівнянь (Відповідь записати у вигляді (х; у). У випадку, якщо коренів не одна пара (х1; у1) та (х2; у2). Якщо коренів нема, так і пишете - коренів не має)

Приложения:

Ответы

Ответ дал: mvertaletcka
1

Ответ:

Фото

Объяснение:

Приложения:
Вас заинтересует