• Предмет: Математика
  • Автор: kaktussikk
  • Вопрос задан 3 года назад

решите пожалуйста уравнение​

Приложения:

Ответы

Ответ дал: Barabanen228
1

Ответ:

x=±π/4+2πk(kЄZ(целое число) и k не равно 0)

или x=¾ или x=1 или x=-π/4.

Пошаговое объяснение:

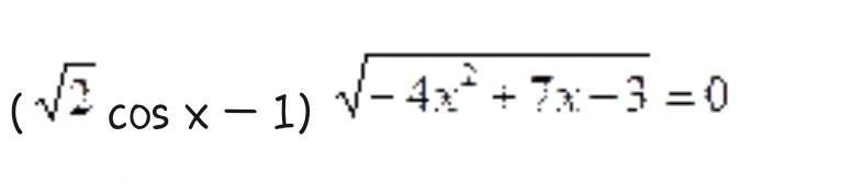
(√2*cosx-1)*√(-4x²+7x-3)=0

√2*cosx-1=0 или √(-4x²+7x-3)=0

-4x²+7x-3=>0

так как √0=0, то

√2*cosx=1 или -4x²+7x-3=0

cosx=1/√2 или x= 1 или x= ¾

(x-1)*(x-¾)=>0

xЄ(-∞;¾] u (1;+∞]

cosx=1/√2

x=±π/4+2πk, kЄZ(гне равно 0)или x=¾ или x=1.

 или x= -π/4.


kaktussikk: благодарю!
Вас заинтересует