• Предмет: Математика
  • Автор: zaihikbunny
  • Вопрос задан 3 года назад

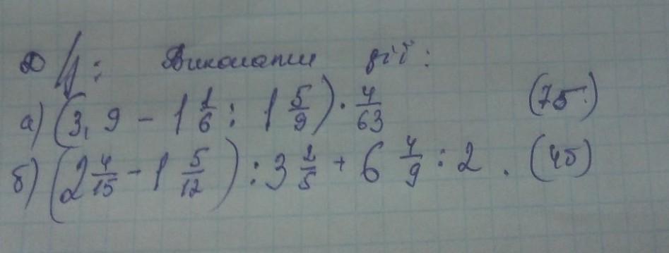
Дії над звичайними дробами ( повторення)
допоможіть будь ласка​

Приложения:

Ответы

Ответ дал: moa000783
0

Ответ:

а)29/315

б)2 29/132

Пошаговое объяснение:

а) 1) -1 1/6:1 5/9=-7/6:14/9=-7/6×9/14=-3/4

2)3,9-3/4=3 ⁴9/10-¹⁰3/4=3 36-30/40=3 6/40=3 3/20

3) 3 3/20×4/63=29/20×4/63=29/20⁵×4¹/63=29/315

б)1)2 ⁴4/15- 1 ⁵5/12= 1 16-25/60= 60+16-25/60=76-25/60=51/60

2) 51/60:3 2/5= 51/60: 11/5= 51/60¹²:5¹/11= 51/132

3) 6 4/9:2= 33/9:2/1=33/9×1/2=33/18=1 15/18

4) ¹⁸51/132+1 ¹³²15/18= 1 918+1980/2376= 1 2898/2376=2 522/2376=2 29/132

Думаю, що правильно

Вас заинтересует