• Предмет: Физика
  • Автор: Аноним
  • Вопрос задан 3 года назад

СРОЧНО!!!!!! Даю 100 балов
Скільки потрібно витратити електроенергії щоб добути масу речовини m, якщо електроліз відбувається при напрузі U. А ККД установки η. (відповідь округліть до цілих).
Дано:
U=200 В
m=0,5 кг
k (Al3+)=0,09
η-?
A-??? кВт/год


zybkov1950: Неможливо одночасно визначити 2 величини "η-? A-??? кВт/год". В умові записано "електроліз відбувається при напрузі U. А ККД установки η." η має бути відомим
Аноним: мне сказали что нужно ккд узнать самому
zybkov1950: Як можна взнати? Можна хіба ЗАДАТИ! Так що в дано запишіть не "η-?", а наприклад"η=80%". Якщо не зміните умову і задачу видалять і мою роботу
Аноним: ок η-80
zybkov1950: Введіть це в умову!
Аноним: я не могу
Аноним: карандаша нету
Аноним: я создал новый вопрос по ниму

Ответы

Ответ дал: zinovicgrigorij
0

Ответ: 373кВт*ч

Объяснение:

Дано:

U=200 В

m=0,5 кг

k (Al3+)=0,093*10⁻⁶кг/Кл

η=80%=0,8

------------------

W-?

η=m/kq

W=qU

W=mU/(kη)=0,5*200/(0,093*10⁻⁶*0,8)=1344086022Дж=1344МДж=

373,3кВт*ч

Ответ дал: zybkov1950
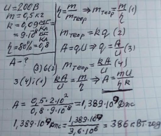
1

Відповідь: 386 кВт/год

Пояснення:

Приложения:
Вас заинтересует