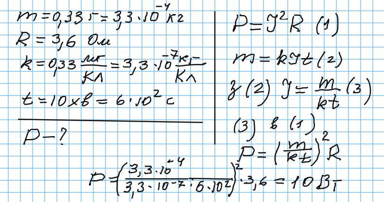
В електролітичній ванні за 10 хв виділилося 0,33 г мiдi. Опір розчину мідного купоросу становить 3,6 Ом. Визначте потужність струму, який про- ходить через розчин. Електрохімічний еквівалент міді дорівнює 0,33 мг/Кл.
Ответы
Ответ дал:
2
Відповідь: 10 Вт
Пояснення:
Приложения:

Вас заинтересует
2 года назад
2 года назад
2 года назад
7 лет назад
7 лет назад
9 лет назад