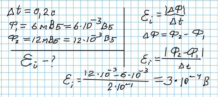
Магнітний потік, що пронизує Контур змінюється за 0,2 с вiд 6 мВб до 12 мВб. Визначте ЕРС індукції.
Ответы
Ответ дал:
1
Відповідь: 30 мВ
Пояснення:
Приложения:

Вас заинтересует
2 года назад
2 года назад
7 лет назад
7 лет назад
9 лет назад
9 лет назад