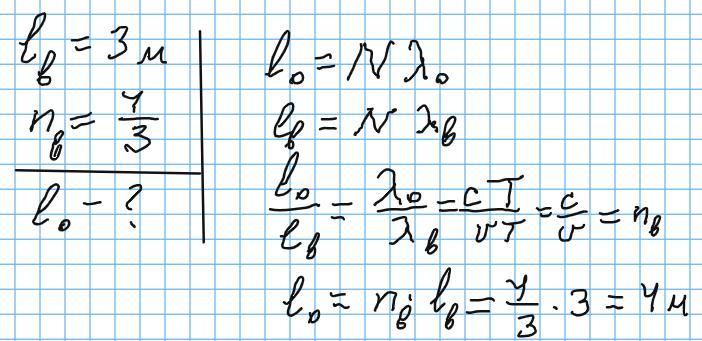
Визначити довжину відрізка, на якому вкладається стільки довжин хвиль у вакуумі, скільки їх вкладається на відрізку 3 м у воді. Показник заломлення води 4/3.
Ответы
Ответ дал:
1
Відповідь: 4 м
Пояснення:
Приложения:

kan3k1dstf:
Дякую!
Вас заинтересует
2 года назад
2 года назад
2 года назад
2 года назад
7 лет назад
7 лет назад