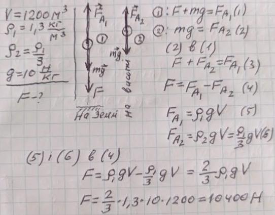
Після звільнення від причального троса повітряна куля об’ємом 1200 м3 піднімається до висоти, де густина повітря складає третю частину від густини на рівні землі. З якою силою куля натягувала причальний трос? Густина повітря біля поверхні землі 1,3 кг/м3.
Ответы
Ответ дал:
0
Відповідь: 10,4 кН
Пояснення:
Приложения:

Вас заинтересует
2 года назад
2 года назад
2 года назад
7 лет назад
9 лет назад