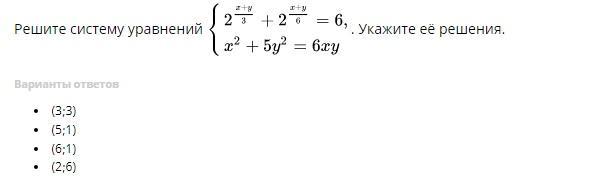
Помогите решить, пожалуйста.
Приложения:

Simba2017:
можно тупо подставлять предложенные ответы...
Ответы
Ответ дал:
1
Ответ:
(5; 1) и (3; 3)
Объяснение:
Решить систему уравнений:
1.
По теореме, обратной теореме Виета,
- не подходит
2.
По теореме, обратной теореме Виета,
⇒
или
⇒
Итак, вернемся к системе:
(5; 1) и (3; 3) - решения системы
Вас заинтересует
2 года назад
2 года назад
2 года назад
7 лет назад
9 лет назад