• Предмет: Физика
  • Автор: vikakras495
  • Вопрос задан 3 года назад

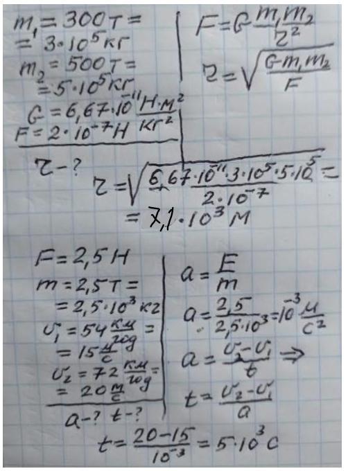
. Сила притягання між кулями масами 300т і 500т становить 0,2мкН. Визначте на якій відстані перебувають ці тіла.

. Під дією сили 2.5 Н швидкість автомобіля масою 2,5т збільшилась від 54 км/год до 72 км/год. Визначте прискорення з яким рухався автомобіль і час розгону.

Ответы

Ответ дал: zybkov1950
1

Відповідь: 1. ≈ 7,1 км       2. 0,001 м/с²;   5000 с

Пояснення:

Приложения:

vikakras495: дякую вам велике
Cohendd: 1) неверно
zybkov1950: Згоден! Не добув у першій задачі корінь з 50. Відповідь 7,1 км
zybkov1950: Вже виправив!
Ответ дал: Cohendd
1

1) Закон всемирного тяготения.

F=G * m1*m2/R²

F=0,2 мкН=0,2*10⁻⁶Н=2*10⁻⁷H

m1=300 т=300*10³ кг=3*10⁵кг

m2=5*10⁵кг

----

2*10⁻⁷=6,67*10⁻¹¹ * 3*10⁵ * 5*10⁵ / R²

2=6,67*10⁻⁴ * 15*10¹⁰ / R²

2=6,67*15*10⁶/R²

R²=6,67*15*10⁶/2

R=10³*√(6,67*15/2)=10³*7,07≈7070 м≈7 км  -  это ответ.

2)

a=F/m=2,5/(2,5*10³)=1/10³=0,001 м/с². Это ускорение из II закона Ньютона.

Теперь время.

54 км/ч=15 м/с

72 км/ч=20 м/с

a=(V-Vo)/t

t=(20-15)/0,001=5*1000 c=5000 c  -  это время разгона авто.

Вас заинтересует