• Предмет: Физика
  • Автор: drackonstar1927
  • Вопрос задан 3 года назад

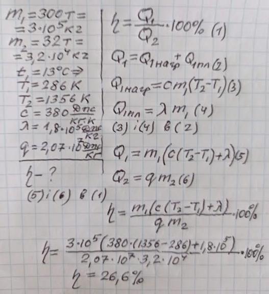
Чому дорiвниое КKД плавильноÏ печi , якщо в неï потрiбно pозлавити 300 T Miдi , сплавивши 32 т кам'яного вугiлля марки А - 1 . Початкова темпеpатуpа Міді 13 С , температура плавлення 1356 к , питома теплота згоряння вугiлля 2,05 * 10⁷ Дж / кг , питома теплоємнiсть мiлi 380 Дж / Kг K , питома теплота плавлення 1,8 * 10⁵ Дж / Kг .​


zybkov1950: "питома теплота згоряння вугiлля 2,05 * 10 Дж / кг". Не вказаний показник
drackonstar1927: сек
drackonstar1927: 2,05*10⁷
drackonstar1927: сорян

Ответы

Ответ дал: zybkov1950
1

Відповідь: 26,6 %

Пояснення:

Приложения:
Вас заинтересует