• Предмет: Алгебра
  • Автор: oleksiyko17102008
  • Вопрос задан 3 года назад

даю 50 балів!!!
допоможіть розв'язати задачу з алгебри ​

Приложения:

Ответы

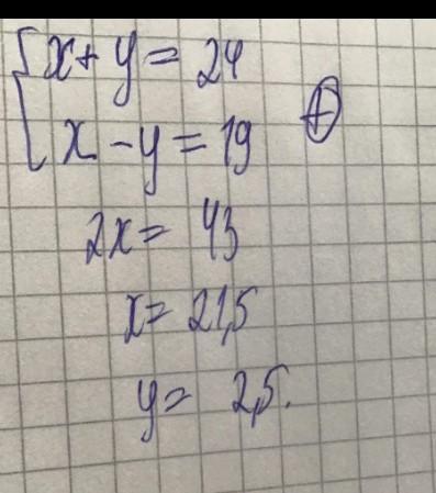
Ответ дал: edo55555
1

Ответ:

х - швидкість човна

y - швидкість течії

Объяснение:

річка 2.5км/год човен 21.5км/год

Приложения:
Ответ дал: iramazurk
0

Объяснение:

1) (24 + 19) : 2 = 43 : 2 = 21,5 (км/ч) - скорость лодки в стоячей воде

2) 24 - 21,5 = 2,5 (км/ч) - скорость течения

Вас заинтересует