Помогите пожалуйста решить интегралы (прикрепил скриншот)
Приложения:


Аноним:
1 непонятка по числам которые сверху и снизу
Ответы
Ответ дал:
1
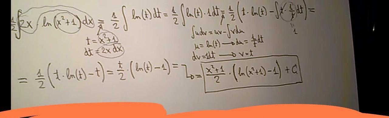
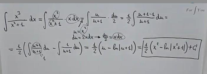
Ответ:
похід із по по по по по по по по по по по по по по
Приложения:


Вас заинтересует
2 года назад
2 года назад
2 года назад
2 года назад
7 лет назад
7 лет назад
9 лет назад
9 лет назад