• Предмет: Математика
  • Автор: ksuymiro1
  • Вопрос задан 3 года назад

помогите пожалуйста!!

Приложения:

ksuymiro1: МОЖНО БЫСТРЕЕ ПОЖАЛУЙСТА?!

Ответы

Ответ дал: kirarossmed
1

Ответ:

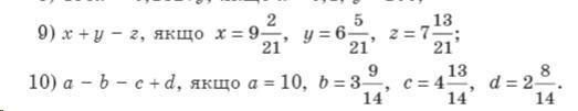
9) 7 5/7

10) 4

Пошаговое объяснение:

x + y - z  \\

9 2/21 + 6 5/21 -7 13/21= 15 7/21- 7 13/ 21= 14 28/21- 7 13/21=

7 15/21= 7 5/7

10) а- b-с+d

10- 3 9/14- 4 13/14 + 2 8/14=4

1) 10-3 9/14= 9 14/14- 3 9/14= 6 5/14

2) 6 5/14 - 4 13 /14= 5 19/14- 4 13/14= 1 6/14

3) 1 6/14+ 2 8/14= 3 14/14=4


kirarossmed: во втором исправила , ошибочно дробь 4 3/14 вместо 4 13/ 14
Вас заинтересует