Ответы
Ответ дал:
0
Ответ:
Пошаговое объяснение:
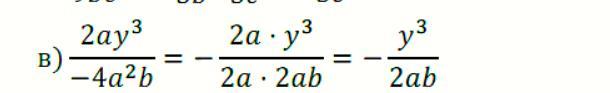
в знаменателе заменим 4a² на 2a*2a, затем сократим дробь на 2а
Приложения:

Вас заинтересует
2 года назад
2 года назад
2 года назад
9 лет назад