• Предмет: Алгебра
  • Автор: getgoop
  • Вопрос задан 3 года назад

Розклади на множники: 19s2−29sy+19y2.
Відомо, що один множник дорівнює s−y.
Знайди інші (інший) множники(обери всі можливі варіанти):

Приложения:

Ответы

Ответ дал: MizoriesKun
1

Смотри...............

Приложения:
Ответ дал: NNNLLL54
1

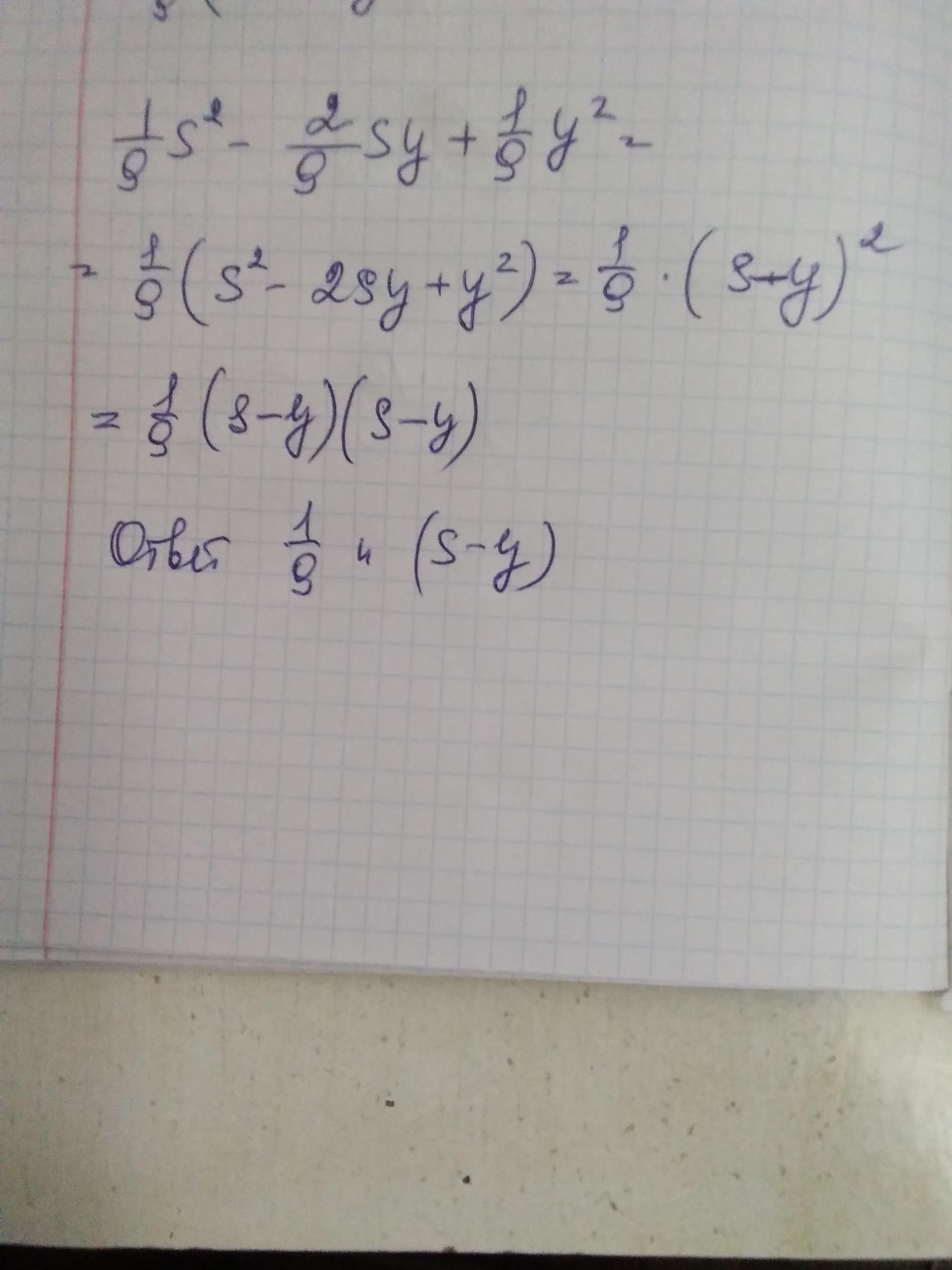
Ответ:

Вынесем общий множитель 1/9 за скобки . В скобках получим полный квадрат .

\displaystyle \frac{1}{9}\, s^2-\frac{2}{9}\, sy+\frac{1}{9}\, y^2=\frac{1}{9}\cdot (s^2-2sy+y^2)=\frac{1}{9}\cdot (s-y)^2=\frac{1}{9}(s-y)(s-y)  

Ответ: один из множителей равен  (s-y) , другие множители равны

\dfrac{1}{9}   и  (s-y)  .

Вас заинтересует