• Предмет: Математика
  • Автор: Evgeniy882
  • Вопрос задан 3 года назад

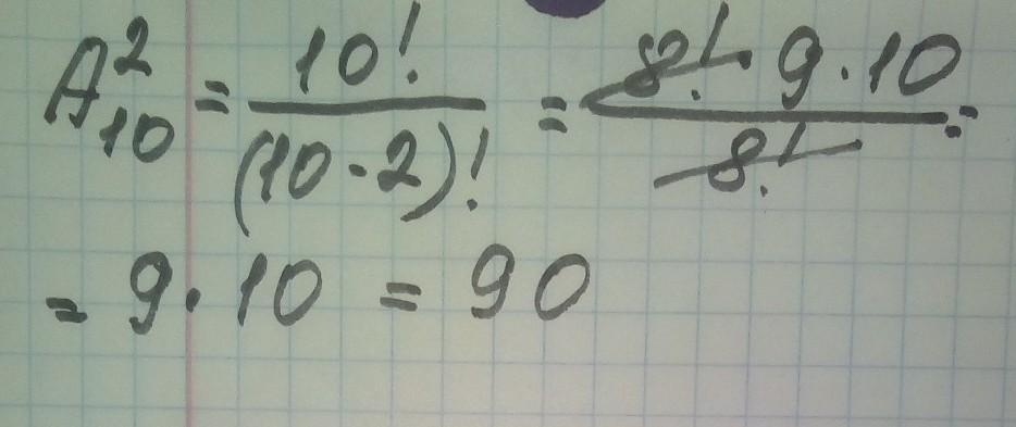
Обчисліть значення виразу А (2 Зверху 10 знизу)

Ответы

Ответ дал: manyny06
1

Ответ:

решение смотри на фотографии

Приложения:
Вас заинтересует