Ответы
Ответ дал:
1
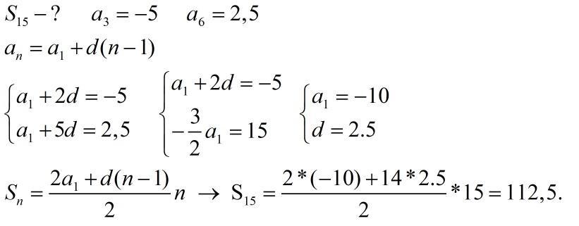
дивіться фото...................
Приложения:

sofiazhmuida:
Дуже дякую)
Вас заинтересует
2 года назад
2 года назад
2 года назад
7 лет назад
9 лет назад
9 лет назад