• Предмет: Алгебра
  • Автор: Fhdgib
  • Вопрос задан 3 года назад

ПОМОГИТЕ СРОЧНО ПОЖАЛУЙСТА!!!!

Приложения:

Ответы

Ответ дал: маря1мариха
0

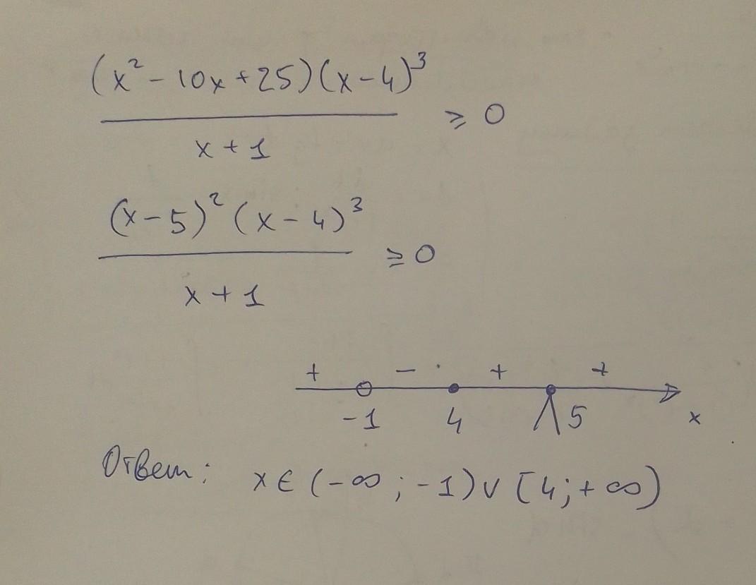
Ответ:

смотри фото

Объяснение:

Раскладываем всё на множители вида

 {(x   -  a)}^{n}

Далее рисуем на числовой оси все точки а (то есть такие точки, в которых каждая из скобок обнуляется): 5, 4, -1. На 5 ставим галку, потому что степень n=2 четная, -1 обозначаем пустым кружочком, потому что x+1 находится в знаменателе и не входит в ответ. 4 и 5 обозначаем полными кружочками, потому что неравенство нестрогое (в них дробь обнуляется - то есть они являются частью ответа).

Дальше идём справа налево - на каждой точке, не имеющей галки (то есть соответствующая скобка в нечётной степени), меняем положительность промежутка.

Самый правый промежуток +, на 5 стоит галка, поэтому следующий тоже +, дальше - и опять +.

Записываем ответ (обращая внимание на выколотые точки, в данном случае -1)

Приложения:
Вас заинтересует