помогите решить Написати рівняння дотичной: до тоафека функції y=x² в т xo=5
y=f(Xo) ( X-Xo)+f(Xo)
MizoriesKun:
Что написать???
Ответы
Ответ дал:
1
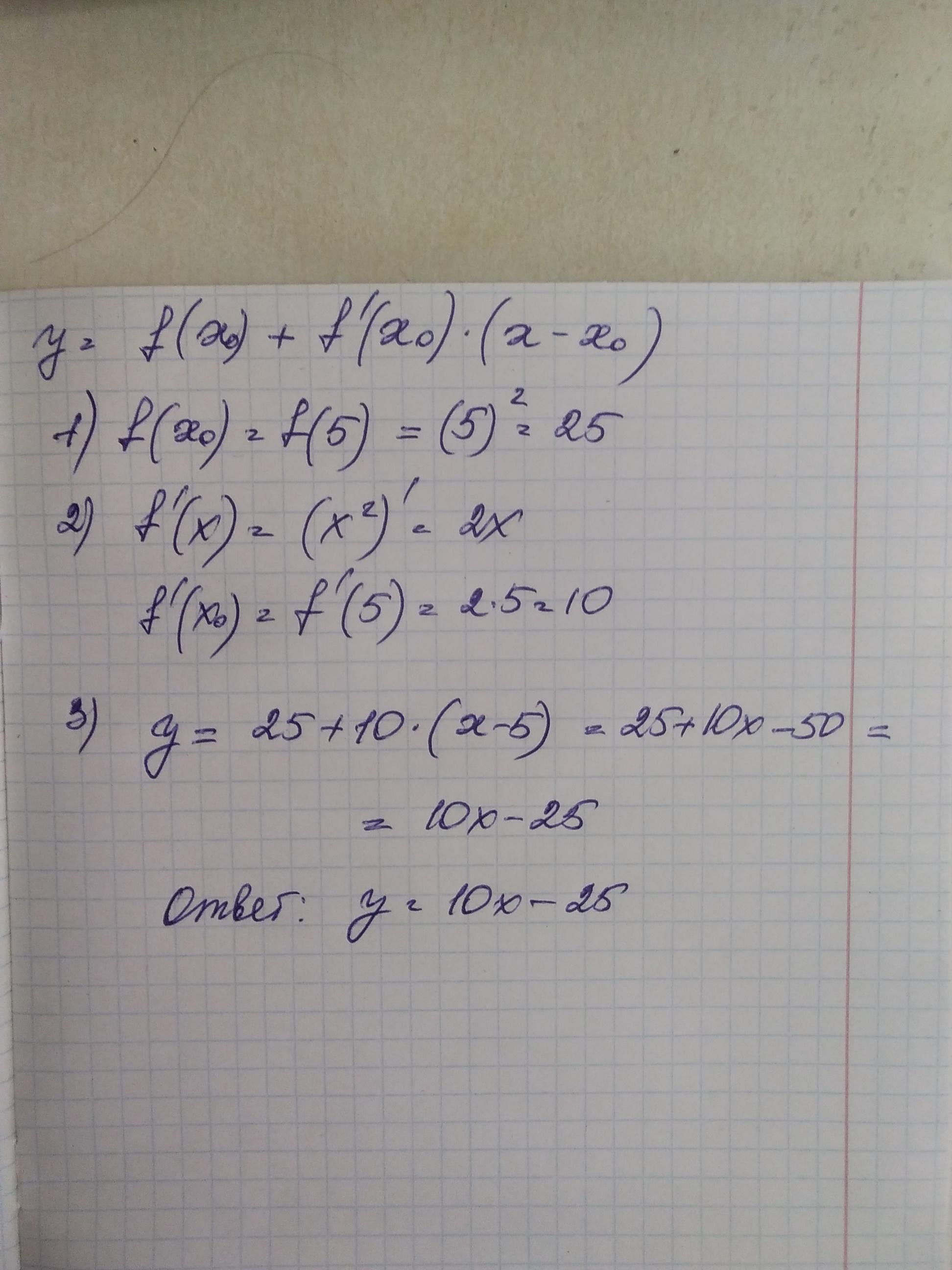
Смотри.......................
Приложения:

Вас заинтересует
2 года назад
2 года назад
2 года назад
2 года назад
7 лет назад
7 лет назад
9 лет назад