• Предмет: Геометрия
  • Автор: Dgdhdhsh
  • Вопрос задан 3 года назад

помогите срочно!!!!!!​

Приложения:

Ответы

Ответ дал: medi030717xm
0

Ответ:

Объяснение:

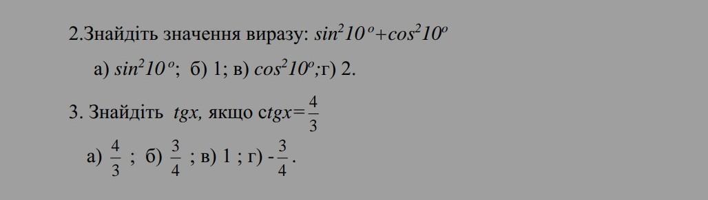
сумма квадратов синуса и косинуса одного и того же угла равна 1

котангенс обратен тангенсу

Вас заинтересует