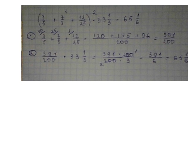
умножте сумму дробей (3\5+7\8+12/25)*33 1 /3
irinaberger:
Как-то не понятно написан пример)
Ответы
Ответ дал:
3
3\5+7\8+12\25=23\55; 23\55*33 1\3=2362,065 что и требовалось доказать
Ответ дал:
4
,,,,,,,,,,,,,,,,,,,,,,,,,,,,,,,,,,,,,,,,,,,,,,,,,
Приложения:

Вас заинтересует
2 года назад
7 лет назад
7 лет назад
9 лет назад