• Предмет: Математика
  • Автор: Redbullchiki
  • Вопрос задан 3 года назад

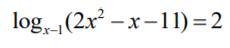
Решить уравнения
задача на картинке

Приложения:

Ответы

Ответ дал: axatar
1

Ответ:

x ∈ { 3 }

Пошаговое объяснение:

Решить уравнение:

\displaystyle \tt log_{x-1}(2 \cdot x^2-x-11)=2.

ОДЗ:

\displaystyle \tt \left \{ {{x-1 > 0, \; x-1\neq 1} \atop {2 \cdot x^2-x-11 > 0}} \right.   \Leftrightarrow \left \{ {{x > 1, \; x\neq 2} \atop {2 \cdot x^2-x-11 > 0}} \right. .

Решение.

\displaystyle \tt log_{x-1}(2 \cdot x^2-x-11)=2\\\\2 \cdot x^2-x-11 =(x-1)^2 \\\\2 \cdot x^2-x-11 =x^2-2 \cdot x+1\\\\x^2+x-12=0\\\\(x-3) \cdot (x+4)=0 \\\\x_1=-4, \;\; x_2=3.

Проверяем ОДЗ:

x₁ = -4: -4 < 1 - не подходит,

x₂ = 3: 3 > 1,  3 ≠ 2, 2·3² - 3 - 11 = 18 - 14 = 4 > 0 - подходит.

#SPJ1

Вас заинтересует