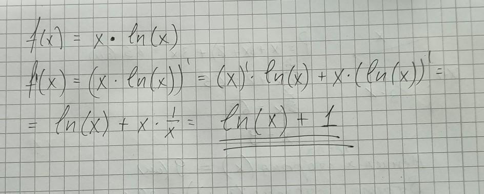
Найти производную
у=xlnx
Помогите пожалуйста, очень срочно, только чтобы было все понятно, даю 15б
Ответы
Ответ дал:
0
ответ записан и расписан на фото
Приложения:

Вас заинтересует
2 года назад
2 года назад
2 года назад
7 лет назад
7 лет назад
9 лет назад