• Предмет: Физика
  • Автор: tatanagotlib194
  • Вопрос задан 3 года назад

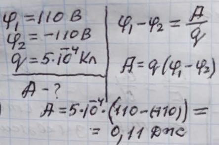
С РЕШЕНИЕМ !!! 100БАЛЛОВ!!!Електричні потенціали двох ізольованих провідників +110 і –110 В. Яку роботу виконує електричне поле під час переміщення заряду 5 · 10–4 Кл з одного провідника
на інший? Провідники перебувають у повітрі

Ответы

Ответ дал: zybkov1950
2

Відповідь: 0,11 Дж

Пояснення:

Приложения:
Вас заинтересует