• Предмет: Алгебра
  • Автор: Jdhfjdjc
  • Вопрос задан 3 года назад

ПОМОГИТЕ ПРООООШУУУУ!!

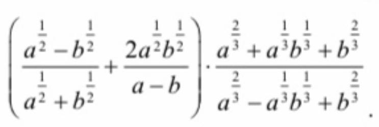
Спростити вираз:

Приложения:

Ответы

Ответ дал: Аноним
1

Відповідь:

Пояснення:

розв'язання завдання додаю

Приложения:
Вас заинтересует