Ответы
Ответ дал:
1
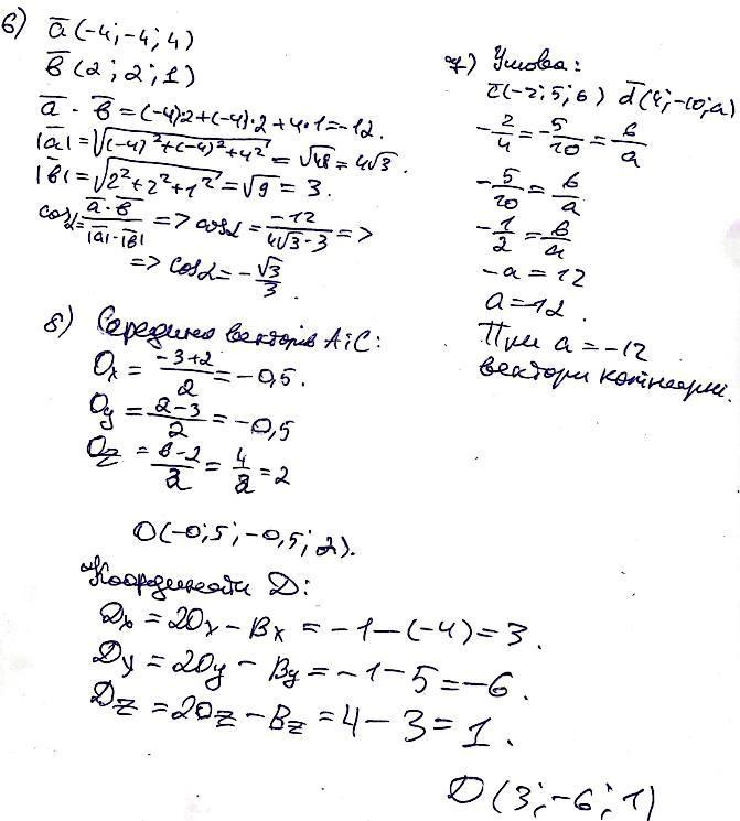
дивіться фото...................
Приложения:

naofumi597:
дуже вам дякую
Ответ дал:
1
Ответ:
решение смотри на фотографии
Приложения:



Вас заинтересует
2 года назад
2 года назад
2 года назад
2 года назад
7 лет назад
9 лет назад