• Предмет: Математика
  • Автор: fakdan34
  • Вопрос задан 3 года назад

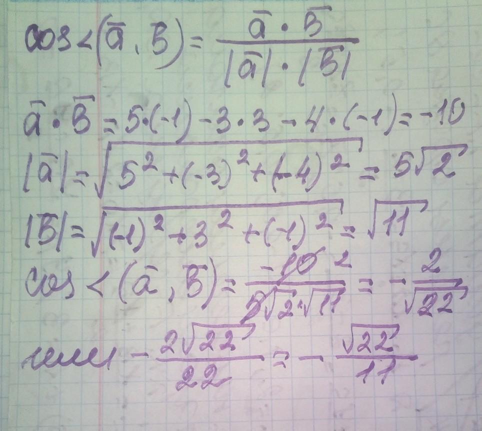
Дано вектори a (5 -3 -4) і b (-1 3 -1). Знайдіть косинус кута між векторами a і b

Ответы

Ответ дал: manyny06
1

Ответ:

решение смотри на фотографии

Приложения:
Вас заинтересует