• Предмет: Математика
  • Автор: katya23477
  • Вопрос задан 3 года назад

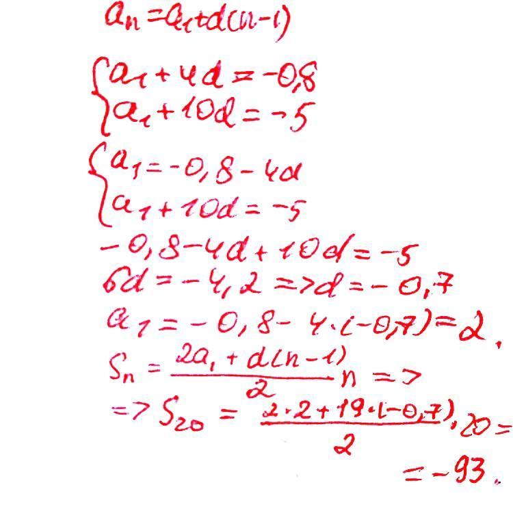
Чому дорівнює сума двадцяти перших членів арифметичної прогресії, п'ятий член якої дорівнює (-0,8), а одинадцятий (-5)​

Ответы

Ответ дал: yevheniiavz
0

дивіться фото.........................................

Приложения:
Вас заинтересует