• Предмет: Математика
  • Автор: ermmak523
  • Вопрос задан 3 года назад

ДАЮ 100 БАЛЛОВ
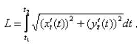
Обчислити довжину дуги кривої.
Вычислить длину дуги кривой.
С РЕШЕНИЕМ

Приложения:

Ответы

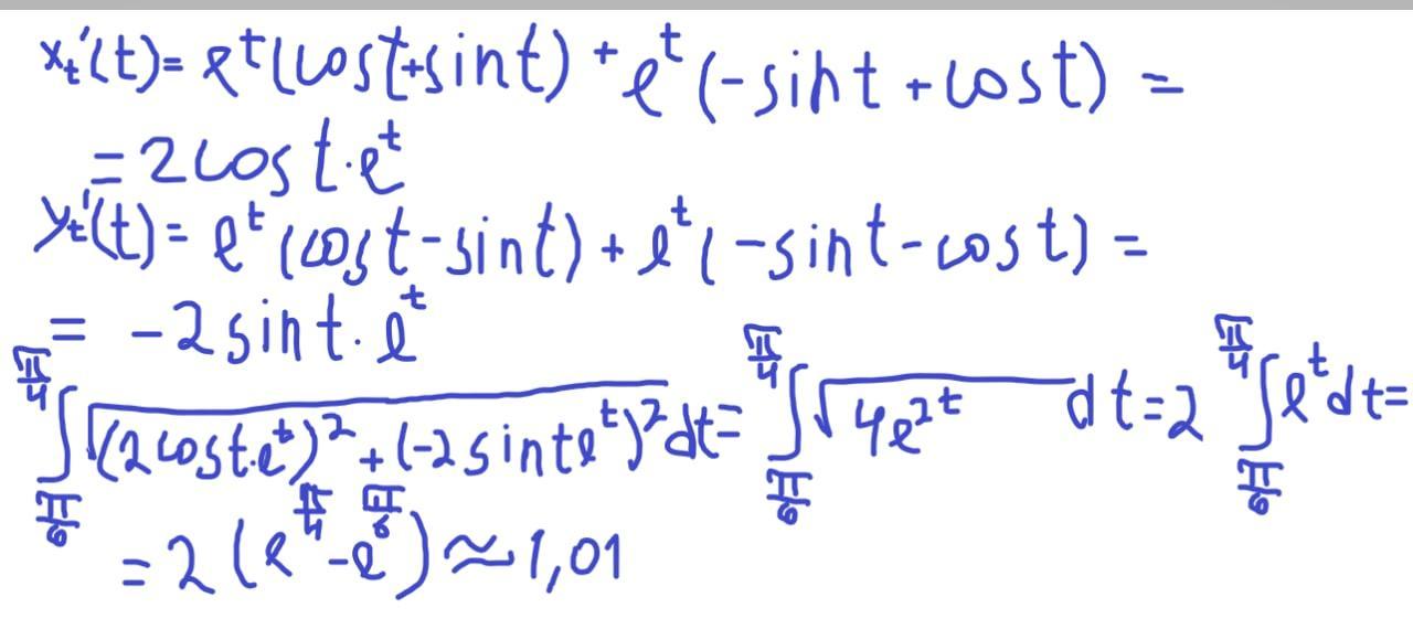
Ответ дал: ivankostyrin
1

Ответ:2(е^(π/4) -е^(π/6))

Пошаговое объяснение:

Приложения:
Вас заинтересует