• Предмет: Алгебра
  • Автор: Аноним
  • Вопрос задан 3 года назад

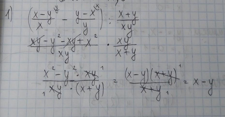
Упростите выражение (x-y/x - y-x/y) : x+y/xy

Номер 1

Приложения:

Ответы

Ответ дал: anastasiiiaa17
1

( \frac{x - y}{x}  -  \frac{y - x}{y} )  \div  \frac{x + y}{xy}  \\  \frac{y \times (x - y) - x \times (y - x)}{xy}  \times  \frac{xy}{x + y}  \\ (xy -  {y}^{2}  - xy +  {x}^{2} ) \times  \frac{1}{x + y}  \\ ( {x}^{2}  -  {y}^{2} ) \times  \frac{1}{x + y}  \\ (x - y) \times (x + y) \times  \frac{1}{x + y}  \\ x - y

ответ: х-у

Ответ дал: di2504
1

Ответ:

х – y

Объяснение:

Решение представлено на фотографии.

Приложения:
Вас заинтересует