Ответы
Ответ:
Объяснение:
а)
Запишем систему в виде матричного уравнения:
- при условии, что
.
Определитель матрицы
Алгебраические дополyения матрицы
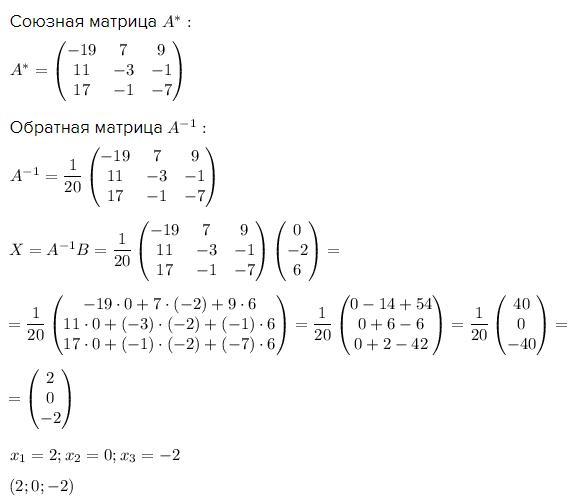
Союзная матрица
Обратная матрица
Таким образом:
б)
Решение пункта б) аналогично пункту а).
Продолжение решения смотрите на фотографиях!!!




Ответ:
а) х₁ = 1; х₂ = 2; х₃ = 3.
б) х₁ = 2; х₂ = 0; х₃ = -2.
Объяснение:
Решить системы уравнений матричным методом.
- Метод обратной матрицы — это метод, использующийся при решении системы уравнений в том случае, если число неизвестных равняется числу уравнений.
- Матричный вид записи: А × X = B, где А - матрица системы, Х - столбец неизвестных, В - столбец свободных членов.
а)
Запишем систему в виде матричного уравнения АХ = В, где
,
,
.
Выразим Х:
Х = ВА⁻¹
Вычислим определитель матрицы А разложением по первой строке:
ΔA не равно нулю, следовательно, эту систему можно решить методом обратной матрицы.
Вычислим алгебраические дополнения к соответствующим элементам матрицы А:
Запишем союзную матрицу А*, которая состоит из алгебраических дополнений матрицы А:
Запишем обратную матрицу согласно формуле:
Умножим обратную матрицу на столбец свободных членов и получим решение системы:
Получили: х₁ = 1; х₂ = 2; х₃ = 3.
б) Решаем аналогично а).
,
,
.
Х = ВА⁻¹
Вычислим определитель матрицы А разложением по первой строке:
ΔA не равно нулю, следовательно, эту систему можно решить методом обратной матрицы.
Вычислим алгебраические дополнения к соответствующим элементам матрицы А:
См. вложение 1 и 2.
Запишем союзную матрицу А*, которая состоит из алгебраических дополнений матрицы А:
Далее см. вложение 3.


