Вероятность того, что мост будет разрушен одной попавшей в него бомбой равна 1/2 , двумя 2/3 , тремя 3/4 . Какова вероятность того, что мост будет разрушен, если на него сброшены три бомбы? Вероятность попадания в мост для каждой бомбы 4/5.
TutorOnline:
я думаю что 80%
Ответы
Ответ дал:
0
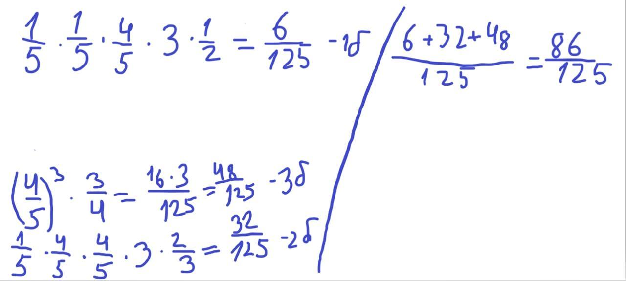
Ответ:86/125
Пошаговое объяснение:сложим вероятности, когда мост разрушен одной бомбой 6/125, двумя 48/125, тремя 32/125. По 3 случая есть при попадании двух бомб, так как не попасть может одна из трёх бомб и при попадании одной бомбы тоже 3 равновероятных случая, когда попасть может либо первая, либо вторая, либо третья.
Приложения:

Вас заинтересует
2 года назад
2 года назад
2 года назад
2 года назад
7 лет назад
7 лет назад
9 лет назад