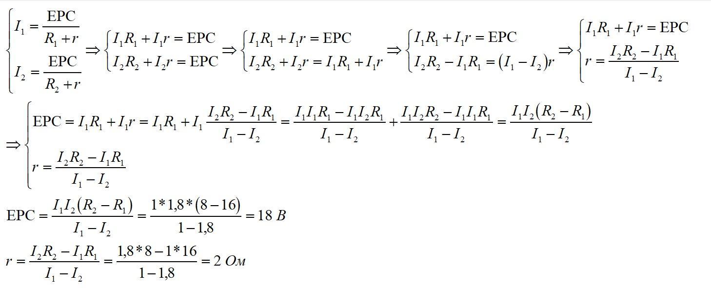
Задача. Під час підключення до батареї резистора 16 Ом сила струму в колі 1А, а при підключенні опору 8 Ом сила струму стала 1,8А.Знайти ЕРС джерела та його внутрішній опір. Срочно
Ответы
Ответ дал:
2
Ответ:
18 В ; 2 Ом
Объяснение:
в додатку
Приложения:

Вас заинтересует
2 года назад
2 года назад
7 лет назад
7 лет назад
9 лет назад
давай так, я пишу розвязання твого питання, а ти відповідаєш будь-кому на будь-яке запитання.