• Предмет: Физика
  • Автор: liliababuniak2006
  • Вопрос задан 3 года назад

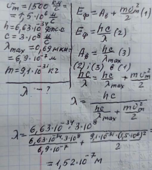
1. З якою довжиною хвилі необхідно направити світло на поверхню цезію, щоб максимальна швидкість фотоелектронів становила 1500 км/с? Червона межа фотоефекту для цезію дорівнює 0,69 мкм.

Ответы

Ответ дал: zybkov1950
0

Відповідь: 0,152 мкм

Пояснення:

Приложения:
Вас заинтересует